Ключевые показатели эффективности (KPI) играют важнейшую роль в оценке эффективности и успеха вашей компании. В этой статье мы расскажем, как определять, отслеживать и анализировать KPI для улучшения процесса принятия решений и разработки стратегий. KPI (ключевые показатели эффективности) — это измеримые значения, демонстрирующие эффективность достижения компанией своих основных целей. Ключевые показатели эффективности различаются в зависимости от сектора и конкретных целей, но они необходимы для оценки краткосрочного и долгосрочного успеха. Почему важны ключевые показатели эффективности? Ключевые показатели эффективности (KPI) дают чёткое представление об эффективности работы вашей компании. Они помогают:
Как выбрать правильные KPI?
Прежде чем выбирать ключевые показатели эффективности (KPI), определите свои стратегические цели. Чего вы хотите достичь? Увеличения продаж, повышения удовлетворенности клиентов или увеличения доли рынка? Связь KPI с целями Выберите ключевые показатели эффективности (KPI), которые напрямую связаны с вашими целями. Например, если ваша цель — увеличить продажи, подходящим KPI может быть коэффициент конверсии продаж. Обеспечить актуальность ключевых показателей эффективности Выбирайте измеримые, доступные и релевантные ключевые показатели эффективности (KPI). Каждый KPI должен давать вам практические рекомендации. Категории KPI Финансовые ключевые показатели эффективности Эти показатели измеряют финансовые результаты, такие как выручка, чистая прибыль или рентабельность инвестиций (ROI). Ключевые показатели эффективности удовлетворенности клиентов Они оценивают удовлетворенность и лояльность клиентов, например, с помощью индекса потребительской лояльности (NPS) или показателя удержания клиентов. Операционные ключевые показатели эффективности Эти ключевые показатели эффективности отслеживают эффективность ежедневных операций, например, время реагирования службы поддержки клиентов или уровень производственных ошибок. Ошибки, которых следует избегать Не перегружайте себя показателями: слишком большое количество ключевых показателей эффективности может рассеять ваше внимание и усилия. Игнорирование эволюции ключевых показателей эффективности: бизнес-цели меняются, и ваши ключевые показатели эффективности должны адаптироваться соответствующим образом. Пренебрежение анализом данных: сбор данных без их анализа бессмыслен. Анализ KPI должен приводить к конкретным действиям. Каковы некоторые примеры ключевых показателей эффективности? KPI (ключевой показатель эффективности) — это количественная метрика, используемая для оценки успешности компании, отдела или конкретного проекта в сравнении с заранее определенными целями. Эти показатели позволяют компаниям отслеживать свой прогресс и корректировать стратегии для достижения поставленных целей. Вот пример для иллюстрации: пример KPI: Коэффициент конверсии Определение: Коэффициент конверсии — это ключевой показатель эффективности (KPI), обычно используемый в цифровом маркетинге и электронной коммерции. Он измеряет процент посетителей веб-сайта, совершивших желаемое действие. Это может быть покупка товара, подписка на рассылку, загрузка документа или любое другое ключевое действие, способствующее достижению бизнес-целей. Формула расчета: Чтобы рассчитать коэффициент конверсии, нужно разделить количество конверсий на общее количество посетителей за определенный период, а затем умножить результат на 100, чтобы получить процент.
Отслеживая и анализируя показатели конверсии, компания может выявить возможности для улучшения, оптимизировать пользовательский опыт и повысить эффективность своих маркетинговых кампаний для достижения своих бизнес-целей. Какие 4 типа индикаторов существуют? В управлении эффективностью и мониторинге показатели можно разделить на несколько типов, каждый из которых используется для оценки различных аспектов бизнеса или проекта. Вот четыре типа ключевых индикаторов, которые часто используются: Показатели финансовой эффективности Эти показатели измеряют финансовое состояние организации. Они необходимы для оценки рентабельности, операционной эффективности и долгосрочной жизнеспособности. Примеры:
Показатели эффективности работы с клиентами Эти показатели оценивают удовлетворенность и лояльность клиентов, а также эффективность работы компании с точки зрения клиентов. Они имеют решающее значение для понимания того, как клиенты воспринимают продукт или услугу. Примеры:
Показатели операционной эффективности Они измеряют эффективность и результативность операционных процессов. Эти показатели помогают выявить области для улучшения повседневной деятельности, чтобы повысить производительность и сократить затраты. Примеры:
Стратегические показатели эффективности Эти показатели позволяют отслеживать прогресс в достижении долгосрочных стратегических целей компании . Они часто связаны с видением и миссией организации. Примеры:
Каждый из этих показателей даёт ценную информацию о различных аспектах деятельности компании, а в совокупности они формируют комплексное представление о её эффективности. Организациям важно выбирать наиболее релевантные показатели для достижения своих конкретных целей и регулярно отслеживать их для обеспечения долгосрочного успеха. Как рассчитывается KPI? Расчет KPI (ключевого показателя эффективности) зависит от того, какой показатель вы хотите измерить. Каждый KPI имеет свою формулу и основан на данных, специфичных для цели, которую он оценивает. Однако общий подход к расчету KPI включает несколько ключевых этапов: Определение целей Прежде чем приступать к расчётам, крайне важно чётко определить, что именно вы пытаетесь измерить и почему. Это определит, какие ключевые показатели эффективности (KPI) релевантны вашей ситуации. Например, если вы хотите оценить эффективность продаж, могут подойти такие KPI, как коэффициент конверсии или ежемесячная выручка. Сбор данных Соберите необходимые данные для расчёта KPI. Это может включать в себя сбор финансовых, операционных, маркетинговых данных и т. д., в зависимости от показателя. Применение формулы Примените формулу, специфичную для выбранного KPI. Вот несколько примеров формул для распространённых KPI:
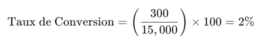
Анализ и интерпретация После расчета KPI проанализируйте результат, чтобы понять, как он соотносится с вашими целями. Например, рост коэффициента конверсии может указывать на повышение эффективности маркетинга. Отслеживание с течением времени Ключевые показатели эффективности (KPI) не являются разовыми мерами, их необходимо отслеживать в течение определенного периода времени, чтобы оценить тенденцию и эффективность реализуемых стратегий. Пример расчета Если у вас есть сайт электронной коммерции и вы хотите рассчитать коэффициент конверсии за прошлый месяц, за который у вас было 15 000 посетителей и 300 продаж, расчет будет следующим:
Это значит, что за рассматриваемый месяц 2% посетителей сайта совершили покупку. Важно отметить, что выбор ключевых показателей эффективности, их расчет и интерпретация должны быть адаптированы к конкретным особенностям вашей организации и соответствовать ее стратегическим целям. Какие два типа ключевых показателей эффективности существуют? Ключевые показатели эффективности (KPI) можно классифицировать по-разному в зависимости от их применения или цели. Однако часто проводится принципиальное различие между двумя основными категориями: Отставание KPI (показателей эффективности) Ключевые показатели эффективности (KPI) или «запаздывающие индикаторы» измеряют прошлые результаты. Они предоставляют информацию о достигнутых результатах, позволяя оценить эффективность реализованных стратегий и действий. Эти показатели легко измерить, но сложно улучшить или напрямую повлиять на них, поскольку они отражают прошлые достижения. Примеры: выручка, чистая прибыль, уровень удержания клиентов и т. д. Ведущие ключевые показатели эффективности (KPI) Опережающие индикаторы (KPI) предназначены для прогнозирования будущих результатов и оценки вероятности достижения поставленных целей. Они используются для прогнозирования и влияния на результаты до их реализации, позволяя корректировать стратегии по ходу дела. Примеры: уровень удовлетворенности сотрудников (как показатель будущей производительности), объем веб-трафика (как показатель онлайн-продаж), количество новых квалифицированных лидов (как показатель будущих продаж) и т. д. Сочетание этих двух типов KPI крайне важно для сбалансированного и проактивного управления эффективностью. KPI, ориентированные на конечный результат, помогают понять, на каком этапе вы находитесь относительно поставленных целей, а KPI, ориентированные на предшествующие цели, показывают, куда вы, вероятно, будете двигаться и как скорректировать траекторию для достижения поставленных целей. Использование обоих типов KPI позволяет компаниям не только оценивать свои прошлые результаты, но и планировать и оптимизировать будущие действия. Каковы ключевые показатели эффективности продаж? Ключевые показатели эффективности (KPI) — это ключевые показатели, используемые для оценки эффективности продаж и маркетинговой деятельности компании. Эти показатели помогают компаниям оценивать эффективность своих стратегий продаж, отслеживать прогресс в достижении целевых показателей выручки и выявлять области для улучшения. Вот некоторые из наиболее часто используемых бизнес-показателей эффективности: Доход Доход, полученный от продажи товаров или услуг. Это один из самых прямых показателей коммерческой эффективности. Коэффициент конверсии продаж Процент потенциальных клиентов, которые конвертируются в реальных клиентов. Этот показатель критически важен для оценки эффективности процесса продаж. Средняя стоимость заказа (средний размер корзины) Средний доход от одной продажи. Это помогает оценить ценность покупок клиентов. Стоимость привлечения клиента Общие затраты на продажи и маркетинг, необходимые для привлечения нового клиента. Этот показатель важен для оценки эффективности расходов на маркетинг и продажи. Длина цикла продаж Время, необходимое для превращения лида в покупателя. Этот KPI помогает оценить скорость и эффективность процесса продаж. Уровень удержания клиентов Процент клиентов, оставшихся лояльными к компании в течение определённого периода. Высокий процент свидетельствует о высокой удовлетворенности и лояльности клиентов. Ежемесячный повторяющийся доход (RRM) или годовой повторяющийся доход (RRA) Доход, генерируемый регулярно каждый месяц или год, особенно актуально для бизнес-моделей, основанных на подписке. Коэффициент оттока клиентов (или коэффициент оттока) Процент потерянных клиентов за определённый период. Низкий показатель оттока свидетельствует о хорошем удержании клиентов. Эффективность торгового представителя Эффективность работы торгового представителя оценивается на основе различных критериев, таких как полученный доход, количество завершенных продаж или количество приобретенных новых клиентов. Доля рынка Процент от общего рынка, контролируемый компанией, отражающий ее конкурентоспособность в своем секторе. Эти ключевые показатели эффективности продаж предоставляют ценную информацию для принятия стратегических решений, распределения ресурсов и планирования на будущее. Они необходимы любому менеджеру или отделу продаж, стремящемуся оптимизировать продажи и стимулировать рост бизнеса. Каковы 3 основных показателя эффективности для оценки эффективности вашей команды? Основные KPI (ключевые показатели эффективности) для оценки эффективности команды зависят от отрасли, конкретных целей команды и аспектов работы, которые необходимо измерить. Однако три KPI широко признаны полезными в различных профессиональных контекстах для оценки эффективности и производительности команды: Производительность команды Определение: Измеряет эффективность работы команды относительно вложенных ресурсов, таких как время и затраты. Как это измерить: Это можно рассчитать, разделив общий объем производства (например, количество произведенных единиц продукции, осуществленных продаж или решенных заявок на поддержку) на общее количество отработанных часов. Почему это важно: Это помогает понять, эффективно ли команда использует свое время и ресурсы для достижения своих целей. Качество работы Определение: Оценивает уровень качества результатов работы команды с учетом стандартов компании или отрасли. Как измерить: можно оценить по уровню производственного брака, возвратам клиентов или рейтингам удовлетворенности клиентов. Почему это важно: Высокое качество работы свидетельствует не только об эффективности работы, но и о высокой удовлетворенности клиентов, что имеет решающее значение для долгосрочной репутации и конкурентоспособности компании. Приверженность команды Определение: Измеряет уровень вовлеченности, мотивации и удовлетворенности членов команды своей работой и организацией. Как измерить: можно оценить с помощью опросов о вовлеченности сотрудников, показателя текучести кадров или количества инициатив по улучшению, предложенных сотрудниками. Почему это важно: Вовлеченность сотрудников напрямую связана с их производительностью, качеством работы и способностью к инновациям. Вовлеченные сотрудники с большей вероятностью останутся в компании, снизят текучесть кадров и улучшат рабочую атмосферу. Эти ключевые показатели эффективности (KPI) дают комплексное представление об эффективности работы команды, охватывая такие аспекты, как производительность, качество и вовлечённость. Они помогают руководителям выявлять области, требующие превосходства, а также возможности для улучшения, способствующие личностному росту сотрудников и успеху команды. Что такое треугольник эффективности? Треугольник эффективности, также известный как треугольник качества, стоимости и времени (QCD), представляет собой модель, иллюстрирующую взаимосвязь между тремя важнейшими критериями эффективности проекта, продукта или услуги: качеством, стоимостью и временем. Эта модель помогает организациям сбалансировать эти три элемента для достижения оптимальной эффективности управления проектами или производства товаров и услуг. Ниже приведено краткое описание каждой вершины треугольника: Качество: означает соответствие спецификациям, ожиданиям клиентов и отраслевым стандартам. Качество имеет решающее значение для удовлетворения клиентов и формирования репутации компании. Себестоимость: представляет собой расходы, связанные с производством, эксплуатацией и доставкой продукта или услуги. Эффективное управление затратами имеет решающее значение для прибыльности и конкурентоспособности компании. Срок: время, необходимое для разработки и поставки продукта или услуги. Соблюдение сроков имеет решающее значение для удовлетворения ожиданий клиентов и поддержания их лояльности. Проблема заключается в том, что эти три элемента часто находятся в противоречии. Например, повышение качества продукции может привести к увеличению затрат или увеличению сроков выполнения заказов. И наоборот, снижение затрат может повлиять на качество или потребовать сокращения сроков, оказывая давление на проектные команды. Треугольник эффективности служит основой для принятия стратегических и операционных решений. Балансируя эти три аспекта в соответствии с конкретными целями и ограничениями проекта, он побуждает компании искать оптимальный компромисс между качеством, стоимостью и сроками для удовлетворения потребностей клиентов, сохраняя при этом свою прибыль и репутацию на рынке. Какой показатель эффективности является наиболее важным? Самый важный KPI (ключевой показатель эффективности) варьируется в зависимости от отрасли, конкретных целей компании и этапа её жизненного цикла. Однако, если бы нужно было выделить показатель, выходящий за рамки практически любых соображений и контекстов, это был бы показатель рентабельности инвестиций (ROI). Почему рентабельность инвестиций часто считается самым важным показателем эффективности? Универсальность: рентабельность инвестиций может применяться практически ко всем типам инвестиций, будь то маркетинг, исследования и разработки, приобретение новых технологий или человеческий капитал. Измеримость: обеспечивает четкую и количественную оценку эффективности, позволяя сравнивать эффективность различных инвестиций или стратегий. Рентабельность: рентабельность инвестиций помогает компаниям понять, создают ли инвестированные ресурсы достаточную добавленную стоимость, что является основополагающим аспектом для устойчивости и долгосрочного роста компании. Стратегическое решение: этот KPI информирует о стратегических решениях, определяя наиболее прибыльные области, на которые следует выделить больше ресурсов, и, наоборот, неэффективные области, которые следует улучшить или от которых следует отказаться. Формула рентабельности инвестиций Рентабельность инвестиций обычно рассчитывается следующим образом:
Контекст и гибкость Важно отметить, что, несмотря на исключительную ценность рентабельности инвестиций (ROI), он не должен быть единственным ключевым показателем эффективности (KPI), определяющим все решения. Другие показатели, такие как удовлетворенность клиентов, уровень удержания или доля рынка, могут быть столь же важны для оценки общего состояния и долгосрочного направления развития бизнеса. Выбор KPI должен отражать баланс между текущими финансовыми целями и долгосрочными стратегиями роста, учитывая удовлетворенность клиентов и устойчивое развитие. Главное — определить ключевые показатели эффективности, которые наиболее соответствуют стратегическим целям вашей компании, и использовать их сбалансированным образом при принятии решений. Как построить хороший KPI? Создание эффективного KPI (ключевого показателя эффективности) имеет решающее значение для эффективного измерения производительности и стратегического управления компанией. Вот пошаговое руководство по созданию эффективного KPI: Уточните стратегические цели Чётко определите, каких результатов ваша организация хочет достичь в краткосрочной, среднесрочной и долгосрочной перспективе. Чтобы быть актуальными, ключевые показатели эффективности (KPI) должны отражать эти цели. Определите ключевые факторы успеха Определите ключевые факторы успеха, необходимые для достижения ваших целей. Эти факторы лягут в основу выбора ключевых показателей эффективности (KPI). Выбор конкретных и соответствующих мер Выберите конкретные показатели, которые предоставляют информацию об эффективности в сравнении с критическими факторами успеха. Каждый KPI должен поддаваться непосредственному измерению и на него должны влиять действия, которые вы можете контролировать.
Определите источники данных Определите, где и как вы будете собирать данные, необходимые для расчёта ключевых показателей эффективности (KPI). Убедитесь, что источники надёжны и доступны. Создание процессов сбора и анализа данных Разработать процессы регулярного сбора данных и анализа ключевых показателей эффективности (KPI). Это включает определение частоты измерений и обязанностей. Общение и обучение Чётко донесите ключевые показатели эффективности (KPI) до всех заинтересованных сторон. Объясните им важность KPI, порядок их расчёта и влияние их работы на эти показатели. Обзор и корректировка Ключевые показатели эффективности (KPI) не являются незыблемыми. Периодически пересматривайте их, чтобы убедиться, что они соответствуют стратегическим целям, которые могут меняться. Будьте готовы корректировать их в зависимости от изменений в бизнес-среде или стратегиях компании. Интеграция механизмов действия Для каждого KPI определите планы действий или мер реагирования на случай отклонения от установленных целей. Это гарантирует, что KPI будут не только показателями эффективности, но и рычагами воздействия. Выполняя эти шаги, вы сможете разработать ключевые показатели эффективности, которые дадут ценную информацию о производительности, послужат руководством для принятия стратегических и операционных решений и будут способствовать постоянному совершенствованию организации. Почему важны ключевые показатели эффективности? Ключевые показатели эффективности (KPI) важны по нескольким причинам в контексте управления и стратегического развития компании. Вот основные причины их важности: Измерение производительности: Ключевые показатели эффективности (KPI) позволяют количественно оценить эффективность компании, подразделения или конкретного проекта. Они дают чёткое представление об эффективности реализованных стратегий и достижении поставленных целей. Принятие обоснованных решений: Предоставляя объективные данные, ключевые показатели эффективности (KPI) помогают руководителям и менеджерам принимать обоснованные решения. Они позволяют выявлять области, требующие корректировки или улучшения, тем самым способствуя оптимизации ресурсов и усилий. Согласование целей: Ключевые показатели эффективности (KPI) гарантируют, что все члены организации работают над достижением единых целей. Определяя чёткие показатели, они способствуют согласованию индивидуальных и ведомственных целей с общей стратегией компании. Улучшенная коммуникация: Ключевые показатели эффективности (KPI) служат единым языком для всей компании, обеспечивая чёткое и последовательное информирование о результатах работы и целях. Это помогает информировать и вовлекать всех заинтересованных лиц. Мотивация и приверженность: Количественные и измеримые цели могут мотивировать команды, предоставляя им чёткие цели для достижения. Отслеживание прогресса в достижении этих целей может повысить вовлечённость и удовлетворенность работой. Выявление тенденций: Анализ ключевых показателей эффективности в долгосрочной перспективе может выявить тенденции, дать ценную информацию о прошлых показателях и помочь предвидеть будущие проблемы. Управление рисками: Быстро выявляя пробелы в эффективности, ключевые показатели эффективности позволяют заблаговременно реагировать на риски до того, как они превратятся в серьезные проблемы. Непрерывная оптимизация: Ключевые показатели эффективности (KPI) играют основополагающую роль в процессах непрерывного совершенствования. Они позволяют нам оценивать влияние новых инициатив и изменений в процессах, направляя компанию к повышению эффективности. Подводя итог, можно сказать, что ключевые показатели эффективности (KPI) играют ключевую роль в управлении современной сложной и конкурентной средой. Они предоставляют данные, необходимые для оценки, корректировки и постоянного совершенствования стратегий и операций, что приводит к повышению общей эффективности и долгосрочному успеху. Ключевые показатели эффективности (KPI) играют решающую роль в достижении успеха вашей компании. Выбирая правильные показатели, связывая их со стратегическими целями и регулярно анализируя их результаты, вы можете значительно улучшить процесс принятия решений и оптимизировать свою деятельность. | |
| Категория: Калейдоскоп различных знаний | | |
| Просмотров: 79 | |
Что такое KPI или ключевой показатель эффективности?
Определите ваши стратегические цели

